网站首页
住建动态
政府信息公开
政务服务
互动交流
当前位置:
首页
>
政府信息公开
>
法定主动公开内容
>
财政资金
>
财政专项资金
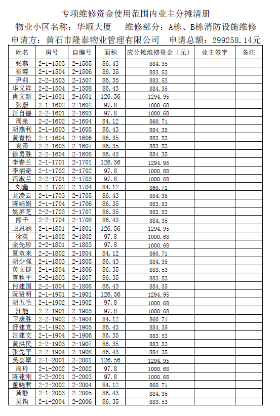
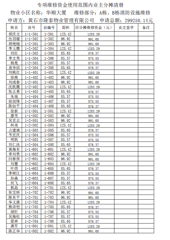
江岸名城小区屋面及外墙防水维修住宅专项维修资金业主分摊清册
来源:住房资金中心 时间:2021-03-30 10:59
分享: