无障碍阅读
今天是
欢迎访问黄石市住房和城市更新局网站
首页
新闻动态
信息公开
政务服务
互动交流
当前位置:
首页
>
2019首页
>
住新业务
>
住房资金
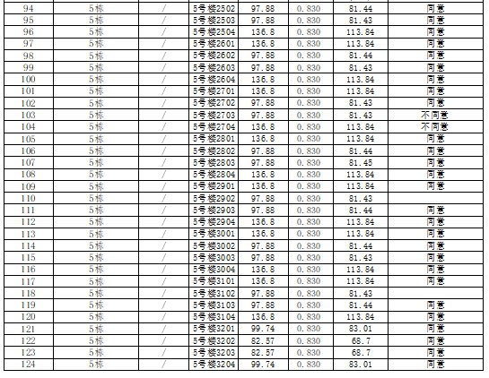
银河湾小区二期5栋电梯工程住宅专项维修资金使用范围内业主分摊清册(七)
作者:周雪 来源:住房资金中心 时间:2026-02-12
分享: